测量干电池的电动势和内阻
通过改变外电阻电路工作状态,电流传感器和电压传感器测出电流和路端电压,由系统生成U-t、I-t和U-I图线,拟合图线得出电动势∑和内电阻r实验电路有有限流和分压两种;本模板采用分压电路,这样可以获得更广范围的数据
实验器材
GQYeLab采集器、电压传感器、电流传感器、计算机。待测干电池、GQY电学组合实验板、连接导线。
实验装置图:如下图

实验步骤
1.将电压传感器传感器和电流传感器分别用两根1394数据线接入GQY数据采集器的1号接口和2号接口;再将GQY数据采集器的usb接口用一根usb线接入电脑的usb接口,并且将GQY数据采集器的电源接通,开启GQY数据采集器。
使用单机运行平台软件做此实验,★ 请进行“GQY实验必备操作”★,打开研究电源电动势的专用模板。按实验装置图连接好设备。连接好数据采集器和计算机。
2.变阻器逆向旋到底,使电阻值为最大;
3.按下电路板上电键,接通电路。点击“
”按钮开始实验,较快地顺向转动变阻器(使电阻逐渐变小),转动到底后,再按一下电键,断开电路。点击“
”按钮,结束实验。
4.观察 U-t、I-t图线;
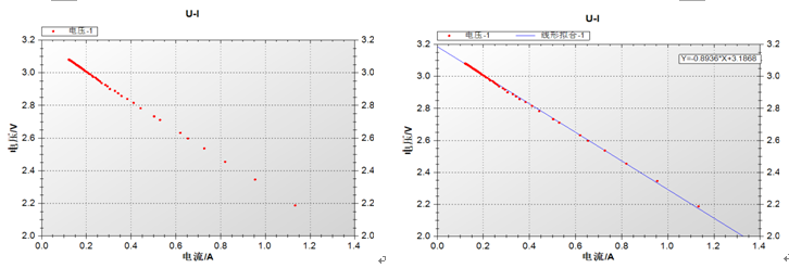
5.点击进入“U-I”页,观察U-I图线;
6.在U-I 图线上选取、保存数据后,进行线性拟合,根据拟合直线方程,得到电源电动势∑和内阻r。

