研究向心力大小与哪些因素有关(质量、半径、线速度、角速度等)
1.向心力测量
用细线将砝码m悬挂在力传感器挂钩,O为悬点,r为O到砝码中心的距离。将它拉到高度为h处释放,砝码m将在竖直平面内摆动,也就是沿着一段圆弧线作变速圆周运动。如装置图所示。在运动的最低点,传感器对砝码m的拉力T恰好与砝码m的重力G在同一竖直线上。则向心力 F = T – G。
2.向心加速度的测量
依据的公式向心加速度a=v^2/r 其中圆弧的半径r即是悬点到砝码中心的悬线长,可以用米尺测出。砝码到达最低点时的速度v ,用放置在悬点的正下方的光电门测量得到。有了R和v2 值,即可求出向心加速度a 。
3.向心力与哪些因素有关的研究
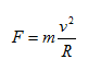
理论公式为:
,实验采用变量控制法研究 。
保持悬线长度不变,保持释放高度h不变,可以使砝码通过最低点的速度不变。改变砝码的质量,实验研究向心力与质量的关系。同理,保持悬线长度不变,保持砝码的质量不变,
改变释放高度h,使砝码通过最低点的速度改变。实验研究向心力与速度的关系。保持砝码的质量,保持释放高度h不变,改变悬线长度。实验研究向心力与运动半径的关系。
实验装置图:如下图

实验步骤:
1. 按实验装置图,组装好器材。连接好超过其与数据采集器、PC机,注意光电门传感器插数据数据采集器的1号口,选用挡光模式;力传感器插2号口。
2. 使用单机运行平台软件做此实验,★ 请进行“GQY实验必备操作” ★,打开“向心力摆”专用模板(以F-v实验为例)。在输入框内,填入相应的摆锤的砝码质量、半径(细线长度)值。
3. 取下摆锤,轻按力传感器上的较零按键。轻按光电门传感器上的按键,将指示灯选择到“I”(即挡光模式),再长按按键(三个灯全亮),进行清零。
4. 把砝码拉开一定的高度,用电磁铁吸住固定。点击“开始”
按钮,让砝码下落(注意:需让摆锤下的挡光杆通过光电门的测量孔),采集第一组数据后,改变砝码拉升的高度,完成多次采集,点击结束
,得到下图。
(注:实验数据采集过程中,不能让任何物体通过光电门,否则将影响实验数据)。
5.得出F-v图像后(如上图),参照产品使用说明书第四部分:单机运行平台操作说明——拟合方式1——(1)拟合,进入拟合界面,选择“二次多项式拟合”——“实验次数(是第几次实验)”——点击“查找”——“Y轴选用:向心力F”—点击“确认”—点击“退出”,拟合完成。


6.研究F-r的关系,则是改变细线r的长度,保持摆锤的质量及释放高度不变。实验方法同下。
7.研究F-m的关系,则是改变摆锤的质量,保持细线r的长度及摆锤的释放高度不变。实验方法同下。