本模板可用于比较两个物体温度的实验,例如蒸发致冷;(吸收)热辐射快慢的研究等实验,比较在一定的条件下,两个物体温度变化的快慢。
需用的实验器材是:GQYeLab数据采集器,两个温度传感器,计算机。具体实验需要的装置
了解液体蒸发有致冷的作用。致冷的效果与蒸发快慢,液体的性质等因素有关
实验器材:温度传感器2个。扇子,棉花球,水,酒精等液体。
实验装置图:如下图

实验准备:
使用单机运行平台软件做此实验,★ 请进行“GQY实验必备操作”★,打开“两个物体温度的测量和比较”实验模板。
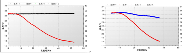
实验步骤:

(1)把一个温度传感器的探头裹上棉花球,沾上酒精。另一个裸露。用扇子对它们扇风,观察它们的温度变化图像。
(2)把一个温度传感器的探头裹上棉花球,沾上酒精。另一个裹上棉花球,沾上水。用扇子对它们扇风,观察它们的温度变化图像。
(3)把两个温度传感器的探头都裹上棉花球,沾上酒精。用扇子对其中一个扇风,另一个不扇风。观察它们的温度变化图像。
(4)把一个温度传感器的探头裹上棉花球,沾上酒精。另一个裹上棉花球,沾上水。用扇子对它们扇风,观察它们的温度变化图像。